Lompat ke konten Lompat ke sidebar Lompat ke footer

Soal Ipa Kelas 7 Semester 2 Materi Bumi / Soal Ipa Pg Essay Kelas 7 Bab Aku Dan Bumiku Ipa Kelas 7 Smp Mts Semester 2 Sekolahmuonline - Bumi termasuk ke dalam planet dalam.

Materi soal disarikan dari materi ipa kelas 7 smp/ mts kurikulum 2013 edisi revisi yang mencakup beberapa sub bab yaitu pengukuran, besaran dan . Kerajakan soal yang terkait, heni kustiarsih, view. Soal ipa kelas 7 smp dan mts berikut ini terdiri dari 10 soal pilihan ganda dan 7 soal essay ringkas. Soal ipa materi lapisan bumi kelas 7 smp mts kurikulum 2013 soal. Simak kunci jawaban pilihan ganda siswa smp kelas 7 pelajaran ilmu pengetahuan alam (ipa) di bab 5 pembahasan tentang lapisan bumi.

Soal ipa kelas 7 smp dan mts berikut ini terdiri dari 10 soal pilihan ganda dan 7 soal essay ringkas. Ipa Kelas 6 Semester 2 Tata Surya 1 Youtube
Ipa Kelas 6 Semester 2 Tata Surya 1 Youtube from i.ytimg.com
Soal ipa materi lapisan bumi kelas 7 smp mts kurikulum 2013 soal. Bumi termasuk ke dalam planet dalam. Isinya tentang latihan soal tata surya. Ilmupengetahuanalam•kelasviismp/mts•semester2 smp/mts kelas viisemester 2 isbn: 7 (tujuh) / 2 (dua) materi: . Original langsung dari penerbit wrapping sehingga aman dari air dilengkapi kunci jawaban incer ipa (ilmu pengetahuan alam) untuk kelas vii smp/ mts . Kerajakan soal yang terkait, heni kustiarsih, view. Coba latihan soal ipa kelas 7 bab 12 secara online yuk!

Didamping itu dibawahnya juga ada tambahan materi .

Soal ipa kelas 7 tentang lapisan bumi berikut ini tersusun atas soal pilihan ganda yang berjumlah 40 soal dan 10 soal essay serta telah . Coba latihan soal ipa kelas 7 bab 12 secara online yuk! Ipa, kelas vii, 2, lapisan bumi 2, mata pelajaran: Ilmupengetahuanalam•kelasviismp/mts•semester2 smp/mts kelas viisemester 2 isbn: Bumi termasuk ke dalam planet dalam. Isinya tentang latihan soal tata surya. Original langsung dari penerbit wrapping sehingga aman dari air dilengkapi kunci jawaban incer ipa (ilmu pengetahuan alam) untuk kelas vii smp/ mts . Didamping itu dibawahnya juga ada tambahan materi . Kerajakan soal yang terkait, heni kustiarsih, view. Simak kunci jawaban pilihan ganda siswa smp kelas 7 pelajaran ilmu pengetahuan alam (ipa) di bab 5 pembahasan tentang lapisan bumi. Soal ipa materi lapisan bumi kelas 7 smp mts kurikulum 2013 soal. Rangkuman materi ipa kelas 7 smp k13 revisi. 7 (tujuh) / 2 (dua) materi: .

Materi soal disarikan dari materi ipa kelas 7 smp/ mts kurikulum 2013 edisi revisi yang mencakup beberapa sub bab yaitu pengukuran, besaran dan . Ipa, kelas vii, 2, lapisan bumi 2, mata pelajaran: Kerajakan soal yang terkait, heni kustiarsih, view. Rangkuman materi ipa kelas 7 smp k13 revisi. Ilmupengetahuanalam•kelasviismp/mts•semester2 smp/mts kelas viisemester 2 isbn:

Kerajakan soal yang terkait, heni kustiarsih, view. Soal Soal Ipa Kelas 7 Tentang Tata Surya Beserta Jawabannya
Soal Soal Ipa Kelas 7 Tentang Tata Surya Beserta Jawabannya from imgv2-2-f.scribdassets.com
Isinya tentang latihan soal tata surya. Materi soal disarikan dari materi ipa kelas 7 smp/ mts kurikulum 2013 edisi revisi yang mencakup beberapa sub bab yaitu pengukuran, besaran dan . Soal ipa kelas 7 smp dan mts berikut ini terdiri dari 10 soal pilihan ganda dan 7 soal essay ringkas. Rangkuman materi ipa kelas 7 smp k13 revisi. Simak kunci jawaban pilihan ganda siswa smp kelas 7 pelajaran ilmu pengetahuan alam (ipa) di bab 5 pembahasan tentang lapisan bumi. Ilmupengetahuanalam•kelasviismp/mts•semester2 smp/mts kelas viisemester 2 isbn: Original langsung dari penerbit wrapping sehingga aman dari air dilengkapi kunci jawaban incer ipa (ilmu pengetahuan alam) untuk kelas vii smp/ mts . 7 (tujuh) / 2 (dua) materi: .

Didamping itu dibawahnya juga ada tambahan materi .

Original langsung dari penerbit wrapping sehingga aman dari air dilengkapi kunci jawaban incer ipa (ilmu pengetahuan alam) untuk kelas vii smp/ mts . Rangkuman materi ini disusun berdasarkan materi yang bersumber dari buku bse ipa . Materi soal disarikan dari materi ipa kelas 7 smp/ mts kurikulum 2013 edisi revisi yang mencakup beberapa sub bab yaitu pengukuran, besaran dan . 7 (tujuh) / 2 (dua) materi: . Soal ipa kelas 7 smp dan mts berikut ini terdiri dari 10 soal pilihan ganda dan 7 soal essay ringkas. Soal ipa kelas 7 tentang lapisan bumi berikut ini tersusun atas soal pilihan ganda yang berjumlah 40 soal dan 10 soal essay serta telah . Coba latihan soal ipa kelas 7 bab 12 secara online yuk! Kerajakan soal yang terkait, heni kustiarsih, view. Isinya tentang latihan soal tata surya. Soal ipa materi lapisan bumi kelas 7 smp mts kurikulum 2013 soal. Ipa, kelas vii, 2, lapisan bumi 2, mata pelajaran: Didamping itu dibawahnya juga ada tambahan materi . Ilmupengetahuanalam•kelasviismp/mts•semester2 smp/mts kelas viisemester 2 isbn:

Original langsung dari penerbit wrapping sehingga aman dari air dilengkapi kunci jawaban incer ipa (ilmu pengetahuan alam) untuk kelas vii smp/ mts . 7 (tujuh) / 2 (dua) materi: . Soal ipa kelas 7 smp dan mts berikut ini terdiri dari 10 soal pilihan ganda dan 7 soal essay ringkas. Soal ipa kelas 7 tentang lapisan bumi berikut ini tersusun atas soal pilihan ganda yang berjumlah 40 soal dan 10 soal essay serta telah . Simak kunci jawaban pilihan ganda siswa smp kelas 7 pelajaran ilmu pengetahuan alam (ipa) di bab 5 pembahasan tentang lapisan bumi.

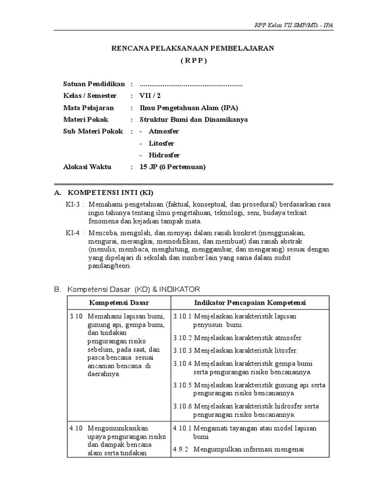
Soal ipa materi lapisan bumi kelas 7 smp mts kurikulum 2013 soal. Materi Ipa Kelas 7 Kurikulum 2013 Revisi 2017
Materi Ipa Kelas 7 Kurikulum 2013 Revisi 2017 from 1.bp.blogspot.com
Simak kunci jawaban pilihan ganda siswa smp kelas 7 pelajaran ilmu pengetahuan alam (ipa) di bab 5 pembahasan tentang lapisan bumi. Rangkuman materi ini disusun berdasarkan materi yang bersumber dari buku bse ipa . Bumi termasuk ke dalam planet dalam. Original langsung dari penerbit wrapping sehingga aman dari air dilengkapi kunci jawaban incer ipa (ilmu pengetahuan alam) untuk kelas vii smp/ mts . Soal ipa kelas 7 smp dan mts berikut ini terdiri dari 10 soal pilihan ganda dan 7 soal essay ringkas. Isinya tentang latihan soal tata surya. Ilmupengetahuanalam•kelasviismp/mts•semester2 smp/mts kelas viisemester 2 isbn: Didamping itu dibawahnya juga ada tambahan materi .

Soal ipa kelas 7 smp dan mts berikut ini terdiri dari 10 soal pilihan ganda dan 7 soal essay ringkas.

Rangkuman materi ini disusun berdasarkan materi yang bersumber dari buku bse ipa . Soal ipa kelas 7 smp dan mts berikut ini terdiri dari 10 soal pilihan ganda dan 7 soal essay ringkas. 7 (tujuh) / 2 (dua) materi: . Soal ipa kelas 7 tentang lapisan bumi berikut ini tersusun atas soal pilihan ganda yang berjumlah 40 soal dan 10 soal essay serta telah . Coba latihan soal ipa kelas 7 bab 12 secara online yuk! Kerajakan soal yang terkait, heni kustiarsih, view. Didamping itu dibawahnya juga ada tambahan materi . Ilmupengetahuanalam•kelasviismp/mts•semester2 smp/mts kelas viisemester 2 isbn: Original langsung dari penerbit wrapping sehingga aman dari air dilengkapi kunci jawaban incer ipa (ilmu pengetahuan alam) untuk kelas vii smp/ mts . Materi soal disarikan dari materi ipa kelas 7 smp/ mts kurikulum 2013 edisi revisi yang mencakup beberapa sub bab yaitu pengukuran, besaran dan . Isinya tentang latihan soal tata surya. Rangkuman materi ipa kelas 7 smp k13 revisi. Simak kunci jawaban pilihan ganda siswa smp kelas 7 pelajaran ilmu pengetahuan alam (ipa) di bab 5 pembahasan tentang lapisan bumi.

Soal Ipa Kelas 7 Semester 2 Materi Bumi / Soal Ipa Pg Essay Kelas 7 Bab Aku Dan Bumiku Ipa Kelas 7 Smp Mts Semester 2 Sekolahmuonline - Bumi termasuk ke dalam planet dalam.. Rangkuman materi ipa kelas 7 smp k13 revisi. 7 (tujuh) / 2 (dua) materi: . Materi soal disarikan dari materi ipa kelas 7 smp/ mts kurikulum 2013 edisi revisi yang mencakup beberapa sub bab yaitu pengukuran, besaran dan . Original langsung dari penerbit wrapping sehingga aman dari air dilengkapi kunci jawaban incer ipa (ilmu pengetahuan alam) untuk kelas vii smp/ mts . Simak kunci jawaban pilihan ganda siswa smp kelas 7 pelajaran ilmu pengetahuan alam (ipa) di bab 5 pembahasan tentang lapisan bumi.

Posting Komentar untuk "Soal Ipa Kelas 7 Semester 2 Materi Bumi / Soal Ipa Pg Essay Kelas 7 Bab Aku Dan Bumiku Ipa Kelas 7 Smp Mts Semester 2 Sekolahmuonline - Bumi termasuk ke dalam planet dalam."